|
标准电机 |
QF4400SU |
QF4400SU-HT |
QF4400SU OEM |
QF4400SU-QCON |
|
|---|---|---|---|---|---|
|
最大流速 |
偏心轴 6° |
5000 升/小时(83 升/分钟) |
5000 升/小时(83 升/分钟) |
5000 Iph (83 Ipm) |
5000 升/小时(83 升/分钟) |
|
最小流速 |
偏心轴 6° |
150 升/小时(2.5 升/分钟) |
50 升/小时 (0.83 升/分钟) |
50 升/小时 (0.83 升/分钟) |
50 升/小时 (0.83 升/分钟) |
|
压力 |
流体温度 < 40°C (104°F) |
4 bar (58 psi) |
4 bar (58 psi) |
4 bar (58 psi) |
6 bar (87 psi) |
|
流体温度 > 40°C (104°F) |
4 bar (58 psi) |
4 bar (58 psi) |
4 bar (58 psi) |
4 bar (58 psi) |
|
|
最高 温度 |
流体 |
60°C (140°F) |
60°C (140°F) |
60°C (140°F) |
80°C (176°F) |
|
高压灭菌 |
130°C (266°F) |
130°C (266°F) |
130°C (266°F) |
130°C (266°F) |
|
|
干吸高度 |
偏心轴 6° |
4 – 4.5 米(13.1-14.7 英尺) |
4 – 4.5 米(13.1-14.7 英尺) |
4 – 4.5 米(13.1-14.7 英尺) |
4 - 4.5 米(13.1 - 14.7 英尺) |
|
音量 |
近似值 |
95 毫升 |
95 毫升 |
95 毫升 |
95 毫升 |
|
灌装量 |
820 毫升 |
820 毫升 |
820 毫升 |
820 毫升 |
|
|
连接 规格 |
连接件 |
1.5" TC |
1.5" TC |
1.5" TC |
1.5" TC |
|
连接件的位置 |
正面 |
正面 |
正面 |
正面 |
|
|
产品接液 |
泵腔 |
PP |
PP |
PP |
SS316L |
|
阀板 |
PP |
PP |
PP |
SS316L |
|
|
隔膜 |
热塑性弹性体 (TPE) |
热塑性弹性体 (TPE) |
热塑性弹性体 (TPE) |
热塑性弹性体 (TPE) |
|
|
阀: |
EPDM / SS316L |
EPDM / SS316L |
EPDM |
EPDM/SS316L |
|
|
O 型圈: |
EPDM |
EPDM |
EPDM |
EPDM |
|
|
证书/证明 |
弹性体(接液产品) |
USP <88> Cl. VI;FDA21CFR177; |
USP <88> Cl. VI;FDA21CFR177; |
USP <88> Cl. VI;FDA21CFR177; |
USP <88> Cl. VI;FDA21CFR177;BSE/TSE 安全 |
|
电机 |
额定速度 |
1455 分钟-1 (50 Hz) |
3000 分钟-1 (50 Hz) |
3000 分钟-1 (50 Hz) |
3000 分钟-1 (50 Hz) |
|
电压 |
230/400 V |
400 V |
3 x 230V / 3 x 400V |
400 V* |
|
|
电源 |
2.2 千瓦 |
4.0 kW |
- |
4.0 kW |
|
|
泵尺寸 |
长度 |
852 mm (33.54") |
790 mm (31.10") |
670 mm (26.38") |
893 毫米(35.16 英尺) |
|
宽度 |
250 mm (9.84") |
275 mm (10.83") |
225 mm (8.86") |
275 毫米(10.83 英寸) |
|
|
高度 |
333 mm (13.11") |
393 mm (15.47") |
233 mm (9.17") |
405 毫米(15.94 英尺) |
|
|
泵重量 |
|
105 千克(232 磅) |
75 千克(165 磅) |
50.4 千克(111 磅) |
90 千克(198 磅) |
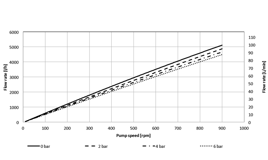
QF4400SU 偏心轴 6° – 升
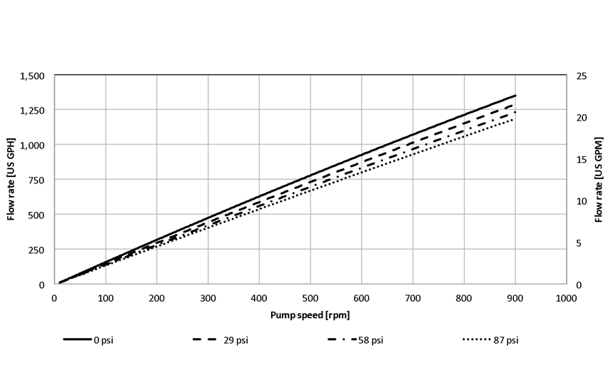
QF4400SU 偏心 轴 6° – 加仑
QF4400SU-HT 偏心 轴 6° – 升
QF4400SU-HT 偏心 轴 6° – 加仑
未找到您搜索的内容? 请随时联系我们。期待收到您的来信!
|
标准电机 |
QF4400SU |
QF4400SU-HT |
QF4400SU OEM |
QF4400SU-QCON |
|
|---|---|---|---|---|---|
|
最大流速 |
偏心轴 6° |
5000 升/小时(83 升/分钟) |
5000 升/小时(83 升/分钟) |
5000 Iph (83 Ipm) |
5000 升/小时(83 升/分钟) |
|
最小流速 |
偏心轴 6° |
150 升/小时(2.5 升/分钟) |
50 升/小时 (0.83 升/分钟) |
50 升/小时 (0.83 升/分钟) |
50 升/小时 (0.83 升/分钟) |
|
压力 |
流体温度 < 40°C (104°F) |
4 bar (58 psi) |
4 bar (58 psi) |
4 bar (58 psi) |
6 bar (87 psi) |
|
流体温度 > 40°C (104°F) |
4 bar (58 psi) |
4 bar (58 psi) |
4 bar (58 psi) |
4 bar (58 psi) |
|
|
最高 温度 |
流体 |
60°C (140°F) |
60°C (140°F) |
60°C (140°F) |
80°C (176°F) |
|
高压灭菌 |
130°C (266°F) |
130°C (266°F) |
130°C (266°F) |
130°C (266°F) |
|
|
干吸高度 |
偏心轴 6° |
4 – 4.5 米(13.1-14.7 英尺) |
4 – 4.5 米(13.1-14.7 英尺) |
4 – 4.5 米(13.1-14.7 英尺) |
4 - 4.5 米(13.1 - 14.7 英尺) |
|
音量 |
近似值 |
95 毫升 |
95 毫升 |
95 毫升 |
95 毫升 |
|
灌装量 |
820 毫升 |
820 毫升 |
820 毫升 |
820 毫升 |
|
|
连接 规格 |
连接件 |
1.5" TC |
1.5" TC |
1.5" TC |
1.5" TC |
|
连接件的位置 |
正面 |
正面 |
正面 |
正面 |
|
|
产品接液 |
泵腔 |
PP |
PP |
PP |
SS316L |
|
阀板 |
PP |
PP |
PP |
SS316L |
|
|
隔膜 |
热塑性弹性体 (TPE) |
热塑性弹性体 (TPE) |
热塑性弹性体 (TPE) |
热塑性弹性体 (TPE) |
|
|
阀: |
EPDM / SS316L |
EPDM / SS316L |
EPDM |
EPDM/SS316L |
|
|
O 型圈: |
EPDM |
EPDM |
EPDM |
EPDM |
|
|
证书/证明 |
弹性体(接液产品) |
USP <88> Cl. VI;FDA21CFR177; |
USP <88> Cl. VI;FDA21CFR177; |
USP <88> Cl. VI;FDA21CFR177; |
USP <88> Cl. VI;FDA21CFR177;BSE/TSE 安全 |
|
电机 |
额定速度 |
1455 分钟-1 (50 Hz) |
3000 分钟-1 (50 Hz) |
3000 分钟-1 (50 Hz) |
3000 分钟-1 (50 Hz) |
|
电压 |
230/400 V |
400 V |
3 x 230V / 3 x 400V |
400 V* |
|
|
电源 |
2.2 千瓦 |
4.0 kW |
- |
4.0 kW |
|
|
泵尺寸 |
长度 |
852 mm (33.54") |
790 mm (31.10") |
670 mm (26.38") |
893 毫米(35.16 英尺) |
|
宽度 |
250 mm (9.84") |
275 mm (10.83") |
225 mm (8.86") |
275 毫米(10.83 英寸) |
|
|
高度 |
333 mm (13.11") |
393 mm (15.47") |
233 mm (9.17") |
405 毫米(15.94 英尺) |
|
|
泵重量 |
|
105 千克(232 磅) |
75 千克(165 磅) |
50.4 千克(111 磅) |
90 千克(198 磅) |
QF4400SU 偏心轴 6° – 升
QF4400SU 偏心 轴 6° – 加仑
QF4400SU-HT 偏心 轴 6° – 升
QF4400SU-HT 偏心 轴 6° – 加仑
未找到您搜索的内容? 请随时联系我们。期待收到您的来信!