|
|
QF4400MU-AC |
QF4400MU-HT |
QF4400MU-OEM |
QF4400MU-QCON |
|
|---|---|---|---|---|---|
|
最大流速 |
偏心轴 6° |
5000 升/小时 (83 升/分钟) |
5000 升/小时 (83 升/分钟) |
5000 升/小时 (83 升/分钟) |
5000 升/小时(83 升/分钟) |
|
最小流速 |
偏心轴 6° |
150 升/小时 (2.5 升/分钟) |
50 升/小时 (0.83 升/分钟) |
50 升/小时 (0.83 升/分钟) |
50 升/小时 (0.83 升/分钟) |
|
压力 |
流体温度 < 40°C (104°F) |
6 bar / 87 psi |
6 bar / 87 psi |
6 bar (87 psi) |
6 bar (87 psi) |
|
流体温度 > 40°C (104°F) |
4 bar (58 psi) |
4 bar (58 psi) |
4 bar (58 psi) |
4 bar (58 psi) |
|
|
最高温度 |
流体 |
80°C (176°F) |
80°C (176°F) |
80°C (176°F) |
80°C (176°F) |
|
就地清洗 |
90°C (194°F) |
90°C (194°F) |
90°C (194°F) |
90°C (194°F) |
|
|
在线灭菌 |
130°C (266°F) |
130°C (266°F) |
130°C (266°F) |
130°C (266°F) |
|
|
高压灭菌 |
130°C (266°F) |
130°C (266°F) |
130°C (266°F) |
130°C (266°F) |
|
|
1200 rpm 干吸高度 |
偏心轴 6 |
4 - 4.5 米(13.1 - 14.7 英尺) |
4 - 4.5 米(13.1 - 14.7 英尺) |
4 - 4.5 米(13.1 - 14.7 英尺) |
4 - 4.5 米(13.1 - 14.7 英尺) |
|
容积 规格 |
自由输出时每转的近似体积 |
95 毫升 |
95 毫升 |
95 毫升 |
95 毫升 |
|
不带 连接件的填充 容积 |
820 毫升 |
820 毫升 |
820 毫升 |
820 毫升 |
|
|
连接 规范 (标准 |
连接件 |
1.5" TC |
1.5" TC |
1.5" TC |
1.5" TC |
|
连接件 的位置 |
正面 |
正面 |
正面 |
正面 |
|
|
产品 接液 材料(标准) |
泵壳 |
SS316L |
SS316L |
SS316L |
SS316L |
|
阀板 |
SS316L 或 PP |
SS316L |
SS316L |
SS316L |
|
|
隔膜 |
热塑性弹性体 (TPE) |
热塑性弹性体 (TPE) |
热塑性弹性体 (TPE) |
热塑性弹性体 (TPE) |
|
|
阀: |
EPDM/SS316L |
EPDM/SS316L |
EPDM/SS316L |
EPDM/SS316L |
|
|
O 型圈: |
EPDM |
EPDM |
EPDM |
EPDM |
|
|
证书/证明(可选) |
弹性体( 润湿的产品) |
USP <88> Cl. VI. |
USP <88> Cl. VI. |
USP <88> Cl. VI. |
USP <88> Cl. VI. |
|
不锈钢部件(接液产品) |
3.1;表面 粗糙度;铁氧体含量 |
3.1;表面 粗糙度;铁氧体含量 |
3.1;表面 粗糙度;铁氧体含量 |
3.1;表面粗糙度; |
|
|
电机(标准) |
额定 速度 |
1455 分钟-1 (50 Hz) |
3000 分钟-1 (50 Hz) |
3000 分钟-1 (50 Hz) |
3000 分钟-1 (50 Hz) |
|
电压 |
230 V/400 V |
400 V* |
3 x 230V / 3 x 400V |
400 V* |
|
|
电源 |
2.2 千瓦 |
4.0 kW |
- |
4.0 kW |
|
|
带电机和外壳的泵尺寸 |
长度 |
852 mm (33.54") |
790 mm (31.10") |
670 mm (26.38") |
893 毫米(35.16 英尺) |
|
宽度 |
250 mm (9.84") |
275 mm (10.83") |
225 mm (8.86") |
275 毫米(10.83 英寸) |
|
|
高度 |
333 mm (13.11") |
393 毫米(15.47 英寸) |
233 mm (9.17") |
405 毫米(15.94 英尺) |
|
|
带电机和外壳的泵重量 |
|
120 千克(265 磅) |
90 公斤(198 磅) |
66.9 千克(147.5 磅) |
90 千克(198 磅) |
可应要求提供其他连接规格、 材料和电机。
*3 x 230 V 可选
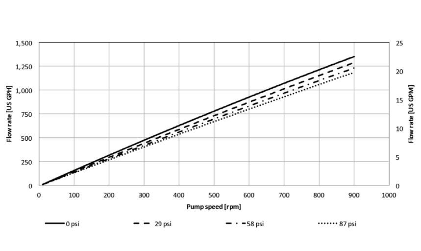
QF4400MU 偏心轴 6° — 升
QF4400MU 偏心轴 6° — 加仑
QF4400MU-HT 偏心 轴 6° — 升
QF4400MU-HT 偏心轴 6° — 加仑
未找到您搜索的内容!请随时联系我们。期待收到您的来信!
|
|
QF4400MU-AC |
QF4400MU-HT |
QF4400MU-OEM |
QF4400MU-QCON |
|
|---|---|---|---|---|---|
|
最大流速 |
偏心轴 6° |
5000 升/小时 (83 升/分钟) |
5000 升/小时 (83 升/分钟) |
5000 升/小时 (83 升/分钟) |
5000 升/小时(83 升/分钟) |
|
最小流速 |
偏心轴 6° |
150 升/小时 (2.5 升/分钟) |
50 升/小时 (0.83 升/分钟) |
50 升/小时 (0.83 升/分钟) |
50 升/小时 (0.83 升/分钟) |
|
压力 |
流体温度 < 40°C (104°F) |
6 bar / 87 psi |
6 bar / 87 psi |
6 bar (87 psi) |
6 bar (87 psi) |
|
流体温度 > 40°C (104°F) |
4 bar (58 psi) |
4 bar (58 psi) |
4 bar (58 psi) |
4 bar (58 psi) |
|
|
最高温度 |
流体 |
80°C (176°F) |
80°C (176°F) |
80°C (176°F) |
80°C (176°F) |
|
就地清洗 |
90°C (194°F) |
90°C (194°F) |
90°C (194°F) |
90°C (194°F) |
|
|
在线灭菌 |
130°C (266°F) |
130°C (266°F) |
130°C (266°F) |
130°C (266°F) |
|
|
高压灭菌 |
130°C (266°F) |
130°C (266°F) |
130°C (266°F) |
130°C (266°F) |
|
|
1200 rpm 干吸高度 |
偏心轴 6 |
4 - 4.5 米(13.1 - 14.7 英尺) |
4 - 4.5 米(13.1 - 14.7 英尺) |
4 - 4.5 米(13.1 - 14.7 英尺) |
4 - 4.5 米(13.1 - 14.7 英尺) |
|
容积 规格 |
自由输出时每转的近似体积 |
95 毫升 |
95 毫升 |
95 毫升 |
95 毫升 |
|
不带 连接件的填充 容积 |
820 毫升 |
820 毫升 |
820 毫升 |
820 毫升 |
|
|
连接 规范 (标准 |
连接件 |
1.5" TC |
1.5" TC |
1.5" TC |
1.5" TC |
|
连接件 的位置 |
正面 |
正面 |
正面 |
正面 |
|
|
产品 接液 材料(标准) |
泵壳 |
SS316L |
SS316L |
SS316L |
SS316L |
|
阀板 |
SS316L 或 PP |
SS316L |
SS316L |
SS316L |
|
|
隔膜 |
热塑性弹性体 (TPE) |
热塑性弹性体 (TPE) |
热塑性弹性体 (TPE) |
热塑性弹性体 (TPE) |
|
|
阀: |
EPDM/SS316L |
EPDM/SS316L |
EPDM/SS316L |
EPDM/SS316L |
|
|
O 型圈: |
EPDM |
EPDM |
EPDM |
EPDM |
|
|
证书/证明(可选) |
弹性体( 润湿的产品) |
USP <88> Cl. VI. |
USP <88> Cl. VI. |
USP <88> Cl. VI. |
USP <88> Cl. VI. |
|
不锈钢部件(接液产品) |
3.1;表面 粗糙度;铁氧体含量 |
3.1;表面 粗糙度;铁氧体含量 |
3.1;表面 粗糙度;铁氧体含量 |
3.1;表面粗糙度; |
|
|
电机(标准) |
额定 速度 |
1455 分钟-1 (50 Hz) |
3000 分钟-1 (50 Hz) |
3000 分钟-1 (50 Hz) |
3000 分钟-1 (50 Hz) |
|
电压 |
230 V/400 V |
400 V* |
3 x 230V / 3 x 400V |
400 V* |
|
|
电源 |
2.2 千瓦 |
4.0 kW |
- |
4.0 kW |
|
|
带电机和外壳的泵尺寸 |
长度 |
852 mm (33.54") |
790 mm (31.10") |
670 mm (26.38") |
893 毫米(35.16 英尺) |
|
宽度 |
250 mm (9.84") |
275 mm (10.83") |
225 mm (8.86") |
275 毫米(10.83 英寸) |
|
|
高度 |
333 mm (13.11") |
393 毫米(15.47 英寸) |
233 mm (9.17") |
405 毫米(15.94 英尺) |
|
|
带电机和外壳的泵重量 |
|
120 千克(265 磅) |
90 公斤(198 磅) |
66.9 千克(147.5 磅) |
90 千克(198 磅) |
可应要求提供其他连接规格、 材料和电机。
*3 x 230 V 可选
QF4400MU 偏心轴 6° — 升
QF4400MU 偏心轴 6° — 加仑
QF4400MU-HT 偏心 轴 6° — 升
QF4400MU-HT 偏心轴 6° — 加仑
未找到您搜索的内容!请随时联系我们。期待收到您的来信!